
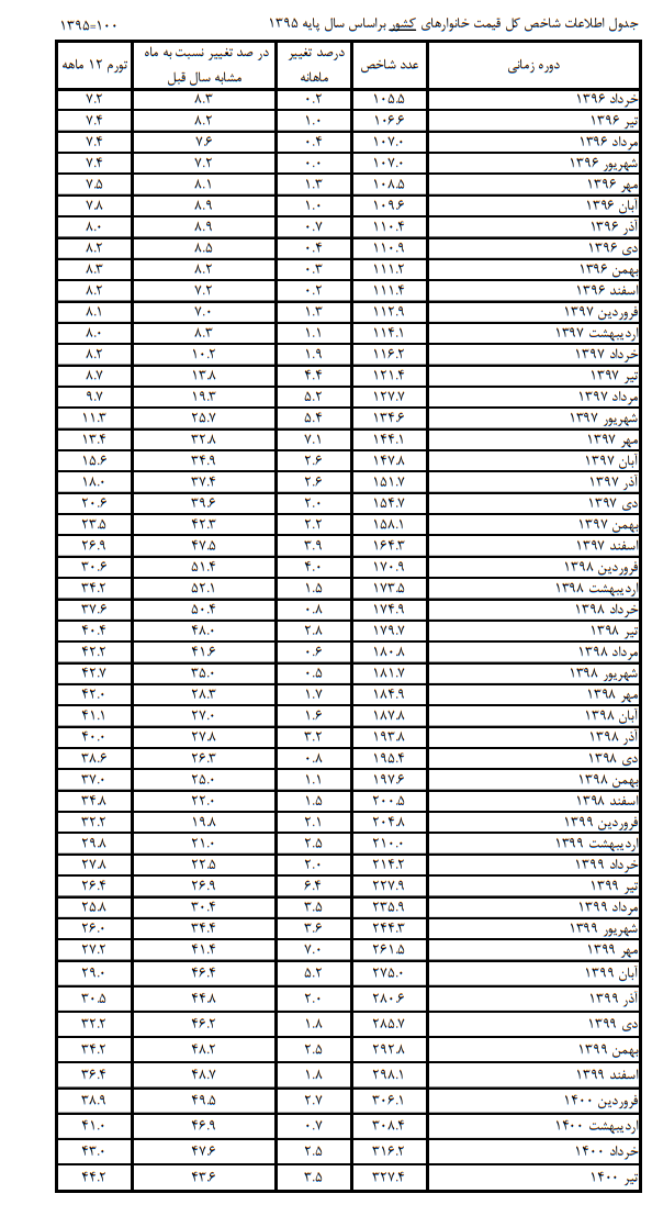
به گزارش ایبِنا؛ اخیراً مرکز آمار ایران گزارش تورم در نخستین ماه تابستان را منتشر کرد. گزارشی که نشان داد در تیرماه ۱۴۰۰ نرخ تورم سالانه کل کشور به رقم ۴۴.۲ درصد رسیده است که نسبت به خردادماه افزایش داشته است.
در این میان، نرخ تورم سالانه خانوارهای استان کردستان با ثبت رقم ۵۰.۱ درصد، صدرنشین بودند و استان قم نیز با تورم سالانه ۴۰.۲ درصد، کمترین تورم سالانه بین استانهای کشور را به خود اختصاص داد.

اما در این گزارش، آنچه قابل توجه بود، سبقت تورم مناطق روستایی نسبت به شهرهای کشور بود. به گونه ای که در تیرماه امسال، نرخ تورم سالانه شهرنشینان کل کشور ۴۳.۷ درصد برآورد شده است و نرخ تورم سالانه مناطق روستایی نیز ۴۷.۳ درصد بوده است.
به عنوان نمونه نرخ تورم سالانه خانوارهای روستایی در استان کرمانشاه با ثبت رقم ۵۳.۱ درصد، بالاترین میزان تورم دوازده ماهه را داشته است. این در حالی است که خانوارهای شهری کردستان در این مدت، بالاترین تورم سالانه را در بین مناطق شهری کشور با نرخ ۴۹.۹ درصد تجربه کرده اند. بنابراین این آمار و ارقام نشان میدهد نرخ تورم سالانه مناطق شهری از تورم سالانه کل کشور و همچنین مناطق روستایی کمتر است؛ موضوعی که در نگاه اول بیان گر افزایش هزینه های روستاییها نسبت به شهرنشینان است.
از سوی دیگر، نرخ تورم نقطه ای تیرماه ۱۴۰۰ در مقایسه با ماه مشابه سال قبل، در کل کشور به رقم ۴۳.۶ درصد رسیده است که نسبت به گزارش خردادماه ۱۴۰۰، کاهش دارد و نرخ تورم نقطه ای تیرماه امسال نسبت به تیرماه ۹۹ برای خانوارهای شهری همانند کل کشور کاهش داشته و به رقم ۴۲.۹ درصد رسیده است. و در نهایت این نرخ تورم نقطه برای مناطق روستایی به رقم ۴۷.۷ درصد رسیده است؛ که این نرخ نیز همانند تورم سالانه، در مقایسه با کل کشور و مناطق شهری، بیشتر است.


کمیل طیبی استاد اقتصاد دانشگاه اصفهان در گفتگو با خبرنگار ایبِنا در خصوص چرایی این اختلاف و اینکه اساساً آیا هزینه خانوارهای روستایی در مقایسه با خانوار شهری، بیشتر شده است، اظهار داشت: وقتی صحبت از نرخ تورم میکنیم، باید توجه داشت که ما به نرخ اشاره داریم؛ ممکن است که تورم و سطح قیمتها در روستا نسبت به شهر کمتر باشد، اما نرخ تغییر در افزایش قیمتها در روستاها نسبت به شهرها بیشتر بوده است. یعنی سطح قیمتها در روستاها نسبت به شهرها، پایینتر بوده، حال برای اینکه تورم روستاها به شهرها نزدیک شود، شاهد هستیم که این نرخ افزایش پیدا می کند تا این اختلاف تورمی پوشش داده شود. البته باید به این موضوع نیز توجه داشت که امروزه این اختلاف قیمتی نسبت به گذشته، به طور معناداری پوشش داده میشود، زیرا ارتباط شهر و روستا بیشتر شده و انتقال و تبادل بین شهر و روستا بیشتر شکل گرفته است.
وی تاکید کرد: شاخص قیمتها بر اساس سبد کالا در نظر گرفته میشود، بنابراین باید در نظر داشت با توجه به اینکه کالاهای ضروری مثل مواد غذایی و خدمات در تعیین نرخ تورم نقش معناداری دارند، معمولاً با یک وقفه زمانی مثلاً یک سال، هزینههایی همچون مسکن که وزن زیادی در سبد هزینه و بودجه مردم دارد، در تورم روستاییها نیز خودش را نشان میدهد. به عبارت دیگر، اگر حباب مسکن ابتدا در شهرهای بزرگ اتفاق میافتد، سپس این حباب با یک وقفه زمانی از شهرها به روستاها منتقل میشود و باعث میشود که آن نرخی که در ابتدا به آن اشاره داشتیم، در روستاها بیشتر از شهرها باشد.