09 مهر 1400 - 09:21
ایبِنا بررسی کرد؛

ارزان‌ترین و گران‌ترین مناطق تهران برای خرید مسکن در شهریورماه

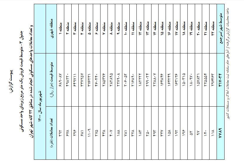
آمارها نشان می‌دهد که در شهریورماه ۱۴۰۰ اختلاف میانگین قیمت مسکن در گران‌ترین و ارزان‌ترین منطقه شهر تهران به بیش از ۵۳ میلیون تومان رسیده است.
کد خبر : ۱۲۷۲۴۰
مسکن

به گزارش خبرنگار ایبِنا؛ جدیدترین گزارش بانک مرکزی از تحولات بازار معاملات مسکن شهر تهران در شهریورماه ۱۴۰۰، نشان می دهد در این ماه، تعداد معاملات آپارتمان‌های مسکونی شهر تهران به حدود ۷.۸  هزار واحد مسکونی رسید که نسبت به ماه قبل و ماه مشابه سال قبل به ترتیب ۴۱.۶ درصد افزایش  و ۸ درصد کاهش نشان می‌دهد.


این در حالی است که در ماه مورد گزارش، متوسط قیمت خرید و فروش یک متر مربع زیربنای واحد مسکونی معامله شده از طریق بنگاه‌های معاملات ملکی شهر تهران با رشد ۲.۴ درصد نسبت به مردادماه سال جاری به بیش از ۳۱ میلیون و ۷۰۰ هزار تومان رسیده است که این رقم نسبت به ماه مشابه سال قبل ۳۰.۵ درصد بیشتر شده است.


هرچند نکته مهم در این بخش روند نزولی رشد نقطه به نقطه قیمت مسکن معامله شده در شهر تهران در ماه گذشته است. زیرا رشد این نرخ در فروردین، اردیبهشت، خرداد، تیر و مردادماه ۱۴۰۰ به ترتیب، ۹۱.۷ و ۶۹.۷ و ۵۶.۶ و ۴۳.۷ و ۳۴ درصد بوده است.


ارزان‌ترین و گران‌ترین مناطق تهران


در میان مناطق ۲۲ گانه شهرداری تهران، بیشترین متوسط قیمت یک متر مربع زیربنای مسکونی معامله شده معادل ۶۸۹.۱ میلیون ریال به منطقه یک و کمترین آن با ۱۵۰.۳ میلیون ریال به منطقه ۱۸ تعلق داشته است. این در حالی است که ارقام مزبور نسبت به ماه مشابه سال ۱۳۹۹ به ترتیب ۳۵.۷ و ۴۴.۳ درصد افزایش نشان می‌دهند.




برچسب ها: مسکن قیمت مسکن
ارسال‌ نظر
در موسسه مطبوعاتی بازار پول و ارز تهیه شد؛

مستند «سرمایه‌گریز»